「.NET 開発基盤部会 Wiki」は、「Open棟梁Project」,「OSSコンソーシアム .NET開発基盤部会」によって運営されています。
推論フェーズでは、信号は順方向に伝播する。
バイアスと活性化関数を省略し重みだけとする。
X行列 * W行列=Y行列
┌ ┐ ┌ ┐ ┌ ┐
│a1 b1│ │a2 b2 c2│ = │a1a2+b1d2 a1b2+b1e2 a1c2+b1f2│
└ ┘ │ │ └ ┘
│d2 e2 f2│
└ ┘
X行列 W行列 Y行列
1行2列 2行3列 1行3列
─ ─
└────┘
┌ ┐ ┌ ┐ ┌ ┐
│a b│ │1 3 5│ = │1a+2b 3a+4b 5a+6b│
└ ┘ │ │ └ ┘
│2 4 6│
└ ┘
X行列 W行列 Y行列
1行2列 2行3列 1行3列
─ ─
└───┘
>>> x=np.array([1,2])
>>> x
array([1, 2])
>>> w=np.array([[1,3,5],[2,4,6]])
>>> w
array([[1, 3, 5],
[2, 4, 6]])
>>> y=np.dot(x,w)
>>> y
array([ 5, 11, 17])
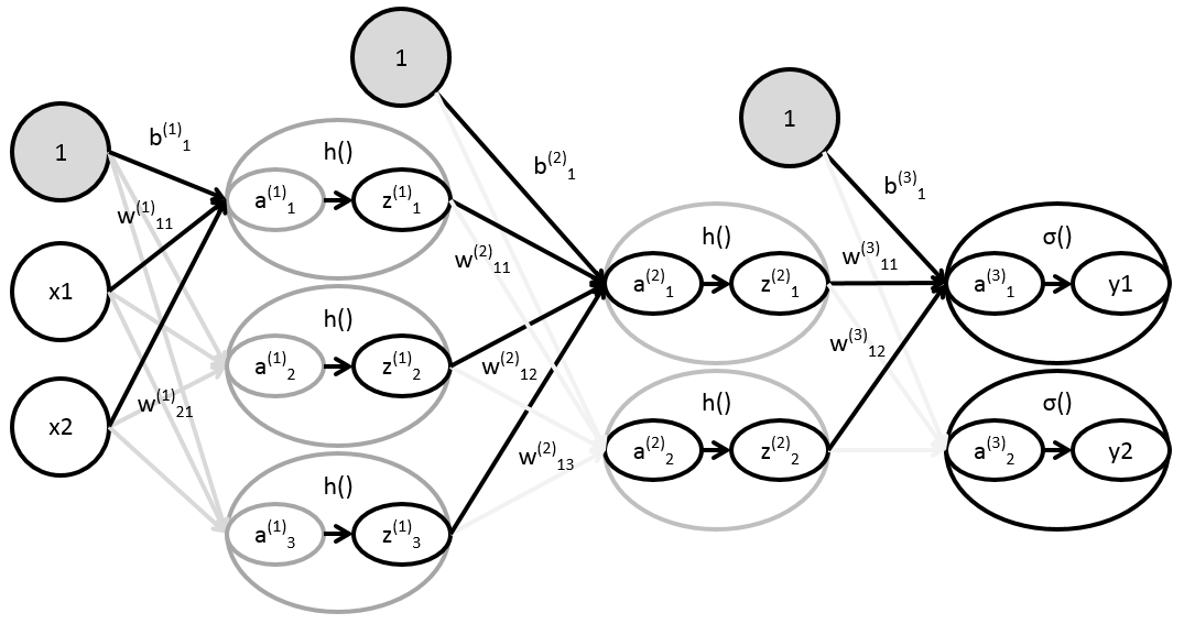
前述の「簡単なニューラルネットワーク」を3層化する。
A(1) = x(1) W(1) + B(1)
┌ ┐ │w(1)11 w(1)21 w(1)31│ │w(1)12 w(1)22 w(1)32│ └ ┘
[b(1)1 b(1)2 b(1)3]
h(A(1)) = Z(1)
そのまんま実装した。
"""This is a test program."""
import numpy as np
def sigmoid(x_1):
"""sigmoid."""
return 1 / (1 + np.exp(-x_1))
def identity_function(y_1):
"""出力層の活性化関数"""
return y_1
# 第一層
X1 = np.array([1.0, 0.5])
W1 = np.array([[0.1, 0.3, 0.5], [0.2, 0.4, 0.6]])
B1 = np.array([0.1, 0.2, 0.3])
print("第一層")
A1 = np.dot(X1, W1) + B1
print("A1:" + str(A1))
Z1 = sigmoid(A1)
print("Z1:" + str(Z1))
# 第二層
X2 = Z1
W2 = np.array([[0.1, 0.4], [0.2, 0.5], [0.3, 0.6]])
B2 = np.array([0.1, 0.2])
print("第二層")
A2 = np.dot(X2, W2) + B2
print("A2:" + str(A2))
Z2 = sigmoid(A2)
print("Z2:" + str(Z2))
# 第三層
X3 = Z2
W3 = np.array([[0.1, 0.3], [0.2, 0.4]])
B3 = np.array([0.1, 0.2])
print("第三層")
A3 = np.dot(X3, W3) + B3
print("A3:" + str(A3))
Z3 = identity_function(A3)
print("Z3:" + str(Z3))
"""This is a test program."""
import numpy as np
def sigmoid(x_1):
"""sigmoid."""
return 1 / (1 + np.exp(-x_1))
def identity_function(y_1):
"""出力層の活性化関数"""
return y_1
def init_network():
"""ニューラルネットワーク"""
network = {}
networkw = {}
networkw[0] = np.array([[0.1, 0.3, 0.5], [0.2, 0.4, 0.6]])
networkw[1] = np.array([[0.1, 0.4], [0.2, 0.5], [0.3, 0.6]])
networkw[2] = np.array([[0.1, 0.3], [0.2, 0.4]])
networkb = {}
networkb[0] = np.array([0.1, 0.2, 0.3])
networkb[1] = np.array([0.1, 0.2])
networkb[2] = np.array([0.1, 0.2])
network["W"] = networkw
network["b"] = networkb
return network
def forward(network, zzz):
"""ニューラルネットワークの実行"""
tier = len(network["W"])
for num in range(tier - 1):
print("第" + str(num + 1) + "層")
xxx = zzz
aaa = np.dot(xxx, network["W"][num]) + network["b"][num]
print("A" + str(num + 1) + ":" + str(aaa))
zzz = sigmoid(aaa)
print("Z" + str(num + 1) + ":" + str(zzz))
print("第" + str(tier) + "層")
xxx = zzz
aaa = np.dot(xxx, network["W"][tier -1]) + network["b"][tier -1]
print("A" + str(tier) + ":" + str(aaa))
zzz = identity_function(aaa) # 出力層の活性化関数
print("Z" + str(tier) + ":" + str(zzz))
return zzz
print(forward(init_network(), np.array([1.0, 0.5])))
用いることができる。
を利用する。
exp(Ak)
Yk = ───────────
n
Σexp(Ai)
i=1
Sigmoid関数の項で説明した通り、
>>> a=np.array([0.3, 2.9, 4.0]) >>> a array([ 0.3, 2.9, 4. ]) >>> exp_a = np.exp(a) >>> exp_a array([ 1.34985881, 18.17414537, 54.59815003]) >>> sum_exp_a = np.sum(exp_a) >>> sum_exp_a 74.122154210163302 >>> y = exp_a / sum_exp_a >>> y array([ 0.01821127, 0.24519181, 0.73659691]) >>>
"""This is a test program."""
import numpy as np
def softmax(aaa):
"""Softmax関数"""
exp_a = np.exp(aaa)
sum_exp_a = np.sum(exp_a)
return exp_a / sum_exp_a
print(softmax(np.array([0.3, 2.9, 4.0])))Softmax関数は指数関数を使用するため、オーバーフローし易い。
従って、ここでは、オーバーフロー対策について考える。
exp(Ak)
Yk = ───────────
n
Σexp(Ai)
i=1
C exp(Ak)
= ───────────
n
C Σexp(Ai)
i=1
exp(Ak + logeC)
= ───────────
n
Σexp(Ai + logeC)
i=1
(a+b) a b X = X * X
a a logxC (a+logxC)
C X = X * X = X
exp(Ak + C')
= ───────────
n
Σexp(Ai + C')
i=1"""This is a test program."""
import numpy as np
def softmax(aaa):
"""Softmax関数"""
exp_a = np.exp(aaa - np.max(aaa))
sum_exp_a = np.sum(exp_a)
return exp_a / sum_exp_a
# print(softmax(np.array([0.3, 2.9, 4.0])))
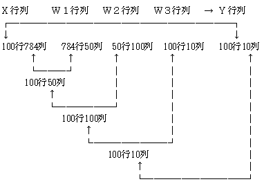
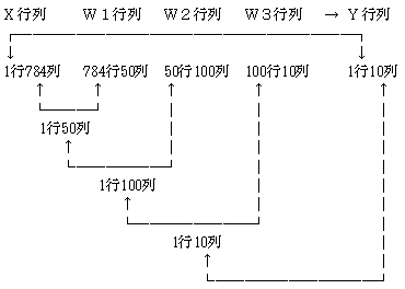
print(softmax(np.array([1010, 1000, 990])))出力層のニューロンの数は、問題に合わせて決定する。
機械学習分野で最も有名なデータセット
c:\deep-learning-from-scratch-master\ch03>python mnist_show.py Downloading train-images-idx3-ubyte.gz ... Done Downloading train-labels-idx1-ubyte.gz ... Done Downloading t10k-images-idx3-ubyte.gz ... Done Downloading t10k-labels-idx1-ubyte.gz ... Done Converting train-images-idx3-ubyte.gz to NumPy Array ... Done Converting train-labels-idx1-ubyte.gz to NumPy Array ... Done Converting t10k-images-idx3-ubyte.gz to NumPy Array ... Done Converting t10k-labels-idx1-ubyte.gz to NumPy Array ... Done Creating pickle file ... Done! 5 (784,) (28, 28) c:\deep-learning-from-scratch-master\ch03>python mnist_show.py 5 (784,) (28, 28)
以下のようにneuralnet_mnist.pyを実行すると、
>python neuralnet_mnist.py
以下のようにneuralnet_mnist_batch.pyを実行すると、
>python neuralnet_mnist_batch.py