.NET 開発基盤部会 Wiki」は、「Open棟梁Project」,「OSSコンソーシアム .NET開発基盤部会」によって運営されています。

目次

概要

特徴

構造

そもそもゲートとはなにか?

GRU (Gated Recurrent Unit)

LSTM (Long short-term memory)

LSTMでできること

RNNでできること

詳細

GRUの仕組みと構造の説明

数式と構造

数式GRUセルの構造
0
1
※ 「*」はアダマール積と言う要素ごとの積。
リセット・ゲート更新ゲート
2
3
https://axa.biopapyrus.jp/deep-learning/rnn/gru.html

要素の説明

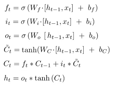
LSTMの仕組みと構造の説明

数式と構造

htだけでなくCt(コンテキスト)も次の再帰的な入力に引き継ぐ。

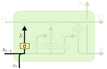
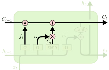
数式セルの構造
0
1
※ 「*」はアダマール積と言う要素ごとの積。

 

忘却ゲート入力ゲート
2
3

 

コンテキスト計算出力ゲート
4
5

要素の説明

拡張形式

Bidirectional LSTM

Deep Bidirectional LSTM

参考

ゼロつく2

YouTube?

AIcia Solid Project


トップ   新規 一覧 単語検索 最終更新   ヘルプ   最終更新のRSS